4 4 4 4 8 answer 100 195890-4 4 4 4 8 answer 100
Round to the nearest hundredth= 10 x 7 x 4 x 1 = 280It is an (ambiguous) arithmetic expression whose value could be * − 8 = 4 − ( 4 × 4) 4 using the usual rules of precedence * 4 = ( ( 4 − 4) × 4) 4 using left to right evaluation * − 16 = 4 − ( ( 4 × 4) 4) with subtraction having lowest precedence
4 4 4 4 8 Answer 100 Ganit Ki Paheli Ganit Ki Majedar Paheliyan 4 4 4 4 8 Maths Parivaar Youtube
4 4 4 4 8 answer 100
4 4 4 4 8 answer 100-To get the answer, we first convert each fraction into decimal numbers We do this by dividing the numerator by the denominator for each fraction as illustrated below 4/8 = 05 4/4 = 1 Then, we compare the two decimal numbers to get the answer 05 is less than 1 Therefore, 4/8 is less than 4/4 and the answer to the question "Is 4/8 less than 4/4?" is yesIn the example above, the denominators were 4, 6, and 2 The least common multiple is the first shared multiple of these three numbers Multiples of 2 2, 4, 6, 8 10, 12 Multiples of 4 4, 8, 12 Multiples of 6 6, 12 The first multiple they all share is 12, so this is the least common multiple To complete an addition (or subtraction



Solved Let F X And G X Be Functions With F 4 8 F 4 2 G 4 4 And G 4 13 2 Points Let P X F X G X And Evaluate P 4
A list of the first 100 answers (solutions 0 to 99) to the Four Fours problem A mathematical puzzle, where you aim to find an equation to match a given solution, using only four fours and a small set of operators Main site (4!*√44) / 4~ IceMantisThat's 124 124 / 4 = 31 Making 30 with just three 4 's ( 4!Matrix Traversal Given a 4 x 4 matrix mat, the initial energy is 100 The task is to reach the last row of the matrix with the maximum possible energy left The matrix can be traversed in the following way 1 Start with any cell in the first row 2 In each move, traverse from cell (i ) of the throw and th column to any existing cell out of (i 1, j
The 4 FOUR's PUZZLE (0100) BIDMAS / BODMAS Worksheet (s) Answers on a POWERPOINT Includes 2 worksheets for all the students to write their answers on I have included a menu driven PowerPoint with an answer for each number (0100) Including every possible answer for each number would probably be impossible Another possible answer ( 4 − ( 4 / 4))!b=8 Geometric figure Straight Line Slope = 0500/00 = 0250 aintercept = 8/1 = bintercept = 8/4 = 2 Rearrange Rearrange the equation by subtracting what is to the
= 30 Making 31 with just three 4 's (violates rules) 16 th root of 24! 4 4 4 4 8 =60 solve this problem Get the answers you need, now!Evaluate 2/44/8 2 4 − 4 8 2 4 4 8 Simplify each term Tap for more steps Cancel the common factor of 2 2 and 4 4 Tap for more steps Factor 2 2 out of 2 2 2 ( 1) 4 − 4 8 2 ( 1) 4 4 8 Cancel the common factors



Solved 2 1 4 4 12 54 1 7 0 9 1 10 8 25 60 14 38 9 30 3 7 8 24 32 1 10 10 I00 5 8 18 9 4 Swd U S Reasoning Und



2
Using the * / operators and four 4 4 4 4 digits, create an algorithm that will output all the formulas that Stack Exchange Network Stack Exchange network consists of 178 Q&A communities including Stack Overflow , the largest, most trusted online community for developers to learn, share their knowledge, and build their careers= 30 A weird but fun stretch answer If you concatenate 4 / 4 and 4! CCNA 2 v7 Lab 448 Packet Tracer – Troubleshoot InterVLAN Routing Instructions Answer pdf pka file download completed 100% scored 19 21 Instructor Version



Distribution Of The Respondents Answers To The Question On The Download Scientific Diagram



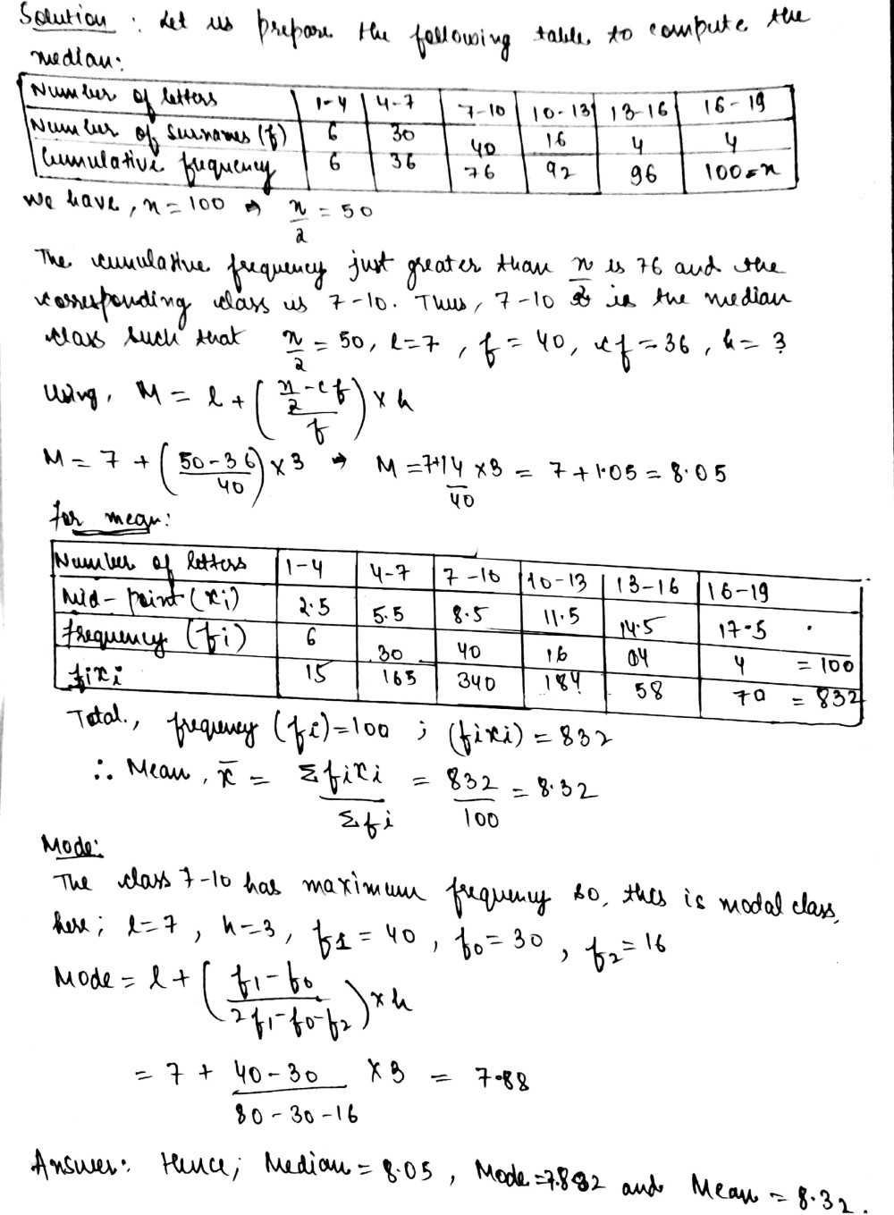
100 Surnames Were Randomly Picked Up From A Local Telephone Directory And The Distribution Of Number Of Letters Of English Alphabet In The Surnames Was Obtained As Follows Number Of Letters1 44 77 1010 1313 16number Of Surnamesdetermine
= 8 x 5 Page 2/7 Download Free Four Fours Answers 1 100 x 2 = 80 10!!!Solution for Consider the titration of 1000 mL of 0250 M aniline, C6H5NH2, (Kp = 38 x 1010) with 0500 M HCI at 25 °C Calculate the pH when 2500 mL ofFour Fours Answer Key 1 100 fullexamscom Then multiply all the answers together to get the triple factorial Therefore 8!!!



Solved 11 1 Points 0 100 Submissions Used If Chegg Com



5 23 18 8 4 100 Using Brainly In
6 hours ago An object has a momentum of 4,000 kgm/s and a mass of 115 kg It crashes into another object that has a mass of 100 kg, and the two objects stick together If the momentum is conserved, what is the new velocity of the combined object? How to Be Perfect The Correct Answer to Every Moral Question Michael Schur (45/5) Free SelfHelp for the Helpless A Beginner's Guide to Personal Development, Understanding Selfcare, and Becoming Your Authentic Self Shelley Wilson (45/5) Free (4 4 )!= 7 44=8 3 likes



Solved D Learning Task 1 Multiply The Following Write Your Answer In Your Notebook 4 X 3 2 6 X 6 3 4 X 5 4 8 X 2 5 7 X 3 B Course Hero



4 Practice Problems On Introduction To Signals Systems Homework 2 Eecs 216 Docsity
Four fours is a mathematical puzzle The goal of four fours is to find the simplest mathematical expression for every whole number from 0 to some maximum, using only common mathematical symbols and the digit four (no other digit is allowed) Most versions of four fours require that each expression have exactly four fours, but some variations require that each expression have the4 − 4 × 4 4 is not a question — it does not have an answer!Use this calculator to find percentages Just type in any box and the result will be calculated automatically Calculator 1 Calculate the percentage of a number For example 44% of 100 = 44 Calculator 2 Calculate a percentage based on 2 numbers For example 44/100 = 44%



Solved Crhical Thlnking Abstraction Following Sequences Lers Of Tha The Riexl Hree Answer Wrlle 18 27 36 45 Answer 1 247 1 Answer I00 78 54 28 Answer 30 35 45 8d 80 Answer 151 149 145 137 121 Answer 6 35 43 5 51 58 5



100 Question Speed Multiplication Challenge 3 Of 4 Teaching Resources



Awesome Puzzle 1 2 3 4 5 6 7 8 9 100 Youtube



4 4 4 4 8 Answer 100 Ganit Ki Paheli Ganit Ki Majedar Paheliyan 4 4 4 4 8 Maths Parivaar Youtube



Equivalent Fractions Calculator



اندرwrite All The Numbers Less Than 100 Whichcommon Multiple Of 3 And 4 Brainly In



Find The Sum Of The Indicated Nu 1 2 4 6 8 100 Terms Brainly In



China Oem Factory Outlet Price 2 4 8 Port Sfp Rj45 Fiber Optic Media Converter 10 100 1000 Base Tx To Bridging Converter China Media Converter Fiber Media Converter



If Eggs Are Bought At 10 For Rs 8 And Sold At 4 For Rs 5 Find The Gain Or Loss Percent Brainly In



Soluzioni Ncert Per La Matematica Di Classe 3 Capitolo 9 Quante Volte Apprendimento Online



Delenie Na 4 Activity



Solved 2 Points Do The Columns Of The Matrix Span R3 Chegg Com



How To Answer Those Kind Of Question Act



7 4 Frac 44 10 Frac 404 100 Frac 444 1000 Frac 4 可啊君 8 111 111 Snapsolve



St L Sub Time Zhr Algehn 4 Of The Following 15 8 5 C Math



Iq Test For The Genius The Viral 1 4 5 Puzzle The Correct Answer Explained Fastest Way Youtube



Do Now Homework 4 4 4 8



Ajo Com



Multiple Numerical Input Slider Alignment In A Multi Row Answer Alternative Limesurvey Forums



Year 3 Count From 0 In Multiples Of 4 8 50 And 100 Master The Curriculum



Test Problems 1 103 Balanced With Size T P Sources Destinations T P Download Scientific Diagram



Can You Solve This 4 4 4 4 8 Answer 100 Ii गण त ह य ज द Ii Reasoning Math Puzzle Trick Youtube



Hat S More Independent Activity 1 Find The Sum Gauthmath



Practice Assignment 5 For The Global Economy With Answers Ir 213 Docsity



80 Questions On Intermediate Algebra With Answer Key Exam Math 100 Docsity



Calculate The Energy Generated In Kwh When 100 Gof 3 Li 7 Is Converted Into 2 He 4 By Proton Bombardment Given Mass Of 3 Li 7 7 01 Umass Of 2 He 4 4 0040 Umass Of 1 H 1 1 0081 U Snapsolve



1



Oneclass Solve Using The Square Root Method X2 64 Choose One Answer A 8 B 8 8 C 16



1 2 3 4 7 8 15 16 100 Terms Sarthaks Econnect Largest Online Education Community



Dominated Finite Mathematics Exam Docsity



873 Math Blog 11 Tinille S Textbook Scribe Post 4 8 12



Please Answer 1 2 3 4 5 6 7 By Showing All Of Your Work Make Sure All Of The Answers Is Homeworklib



Solution math 140 Homework 11 Sp 16 Studypool



The Following Data Give The Pocket Expenses Of 100students Prepare A Frequency Table Taking Equal Class Size E G 0 4 4 Not Included 4 8 8 Not Included Etc Snapsolve



Is If The Fractional Part Of The Number Then K Is Equal To 1 14 2 6 3 4 4 8



Tables From 1 To 12 Learn Tables 2 To 12 Pdf Download



Can Somebody Do Question Five Please I Got An Answer But There Isn T An Answer Sheet So I Just Want To Make Sure I Did It Right Because I M Not 100 Percent



Welcome To Tgpasj Maths Session For Y3 And 4 Parents And Children Ppt Download



Starter Activity 1414 4 5 8 4848 4 5 Ppt Download



Consider The Function F 1 2 1 3 2 2x 1 Answer All Parts A A Homeworklib



2 7 4 5 100 9 8 7 4 400 7 3 6 2 Brainly In



Mcas Sample Student Work



4 4 4 4 8 Answer 100 Ganit Ki Paheli Ganit Ki Majedar Paheliyan 4 4 4 4 8 Nehra Sir Youtube



Solved Use The Following Information To Answer Questions 7 8 Show All Calculations Five Male And Five Female Astronauts Settle Uninhabited Earthlike Planet The Colonists And Their Offspring Randonly Mate For Generations All Of



Count From 0 In Multiples Of 4 8 50 And 100 Year 3 Reasoning Master The Curriculum



What Is The Value Of Math 2 2 4 2 6 2 8 2 100 2 1 2 3 2 5 2 7 2 99 2 Math Quora



The Nth Term Answers



What Will Come Next In The Sequence 4 16 36 64 144 196 Quora



Solved 410 X 0 4 1 X 10 0 4 Solve For X 7 Pts 7 Chegg Com



1



Rd Sharma Solutions For Class 8 Chapter 4 Cubes And Cube Roots Exercise 4 5 Avail Free Pdf



Question 3 5 8 4 8 5 30 Marks You Need To Prepare 80 Ml Of Ferrous Sulfate Mixture Apf For A Patient 100 Mg Answer Happy



St L Sub Time Zhr Algehn 4 Of The Following 15 8 5 C Math



2



Solved Question 6 Taylor Expansion Use Taylor Series Of Degree 2 Centered At To 0 To Expand The Function Sin 4x 8 Cos W W Select The Answer That Has The Correct Values



When A Capacitor Of Value 0 Uf Charged To 0v Is Discharged Separately Through Resistance Of 2 Ohms And 8 Ohms Then Heat Produced In Joule Will Respectively Be 1 4 And 16 2 16 And 4 3 4 And 8 4 4 And 4



Year 3 Count From 0 In Multiples Of 4 8 50 And 100 Master The Curriculum



Find Thwe Sum Of Series 4 12 28 100 Brainly In



8 7 5 C Find The Value Of Determinate 12 4 6 2 9 3 8 7 5 स रण क क म न ज ञ त कर 12 4 6 12 9 3



100 W 1 2 3 4 5 6 8 10 27 75 56 Ohm 100 Originale Nuovo Alluminio Ospitato Filo Avvolto Resistenza Di Frenatura 5 Su Misura Aluminum Resistor Resistor 56 Ohmresistor 75 Ohm Aliexpress



Final Exam Algebra With Applications Answers Math 111 Docsity



100 Horizontal Mixed Operations Questions Facts 1 To 5 Euro Format A



1



Performance Tasts Activity 1 A Message Is Hidden In Th Math



Solved 1 Answer The Following Questions Using The Properties Of Eigenvalues And Eigenvectors A The Determinant Of The 4 X 4 Matrix A Is 96 And Three Of The Eigenvalues Are 8 4



Solved O M 100 1 2 1 10 2 1 2 2 8 4 6 9 5 7 6 2 A Chegg Com



Solved Jee Main 21 March 17 Shift 2 Maths Question Paper



Maths Worksheets 100 Question Times Tables Test Ppt Video Online Download



Multiplication Tables 1 100



Answers 2 Inequalities Quiz Study Guide



Answers 2 Inequalities Quiz Study Guide



The Following Data Give The Pocket Expenses Of 100students Prepare A Frequency Table Taking Equal Class Size E G 0 4 4 Not Included 4 8 8 Not Included Etc Snapsolve



Document



Calculate Karl Pearson S Coefficient Of Correlation For The Following Data X 1 2 3 4 5 6y 35 60 100 1 135 Snapsolve



10 And 100 More And Less Number Search Teacher Made



Teach Files ci Co Uk



Numbers Up To 4 Digits Decompose Tips And Tricks Examples



Solved Let F X And G X Be Functions With F 4 8 F 4 2 G 4 4 And G 4 13 2 Points Let P X F X G X And Evaluate P 4



The Value Of 1 2 3 4 5 6 7 8 97 98 99 100 Is Snapsolve



15 Arml Local Problems And Solutions Team Round Solutions Manualzz



Number Math Puzzle With Answer Rochak Pathshala



Solved Consider The Following Table Of Numbers 4 3 12 4 16 Chegg Com



Solved Question 3 Write The Arithmetic Sequence That Has Chegg Com



Buy Robotime Pluses Math Board Wooden Addition Table Board Games Preschool Educational Toys Gift For Toddler Kids 100 Cubes Model Ro Jm32 Wooden Online In Turkey B08rckr47r



The Four 4s Numberphile Youtube



100 Question Multiplication Division Challenge 2 Teaching Resources Multiplication And Division Multiplication Division Questions



Viral Puzzle 11 11 4 The Correct Answer Explained Mind Your Decisions



Soc 100 Short Answer Quiz 4 1 8 18 Soc 100 Everyday Sociology Studocu



1 Which Of The Following Set Of Ordered Pairs In Gauthmath



Number Math Puzzle With Answer Rochak Pathshala



1



Answer Key To The Ordering Geologic Events Eas 100 Docsity



Dairy Production And Management Coursera Quiz Week 1 4



Chapter 5 Using Numbers In Sensible Ways



Mcqs With Correct Answer Business Statistics Qmst 2333 Docsity



Write All The Numbers Less Than 100 Which Are Common Multiples Of 3 And 4 Solved
コメント
コメントを投稿